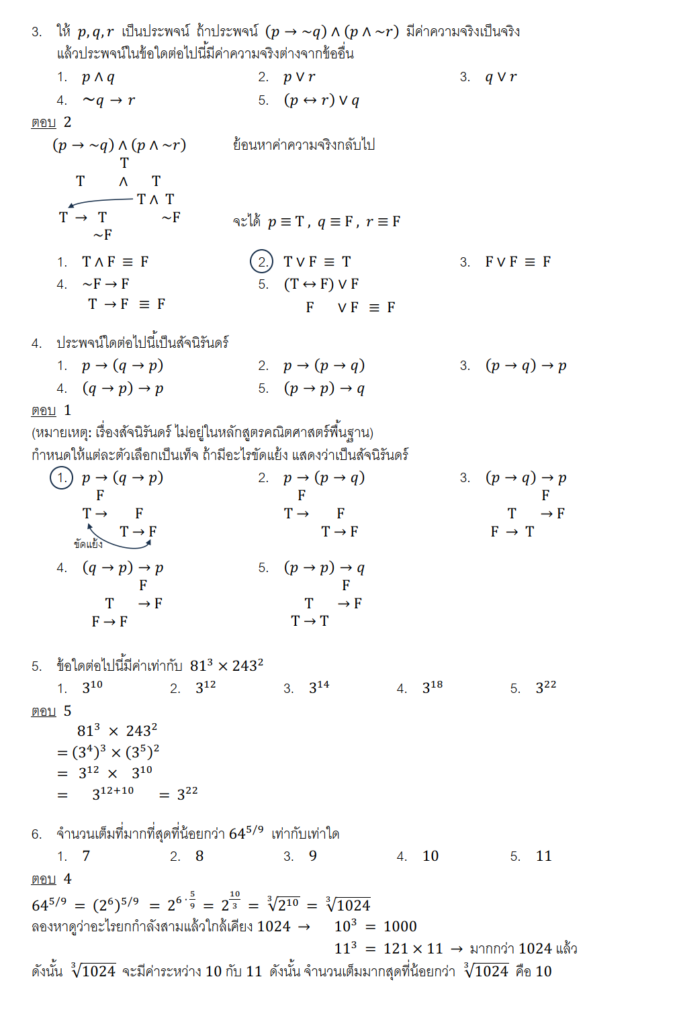
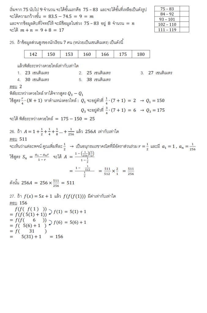
มาถึงฝั่งคณิต 2 กันบ้างครับ ปี 68 นี้ข้อสอบยังคงเน้นหัวข้อหลักอย่างเซต ตรรกศาสตร์ และสถิติพื้นฐานครับ พี่กฤษณ์มองว่าความยากไม่ได้อยู่ที่โจทย์ แต่ยากตรงความรอบคอบครับ เพราะโจทย์มีการใช้เงื่อนไขของจำนวนเต็มและช่วงของค่าสัมบูรณ์เข้ามาผสมเยอะ น้องๆ สายศิลป์มักจะพลาดตรงจุดนี้ครับ ในส่วนของสถิติ ปีนี้เน้นเรื่องค่าเฉลี่ยเลขคณิตและความแปรปรวนรวมที่ต้องคำนวณจากข้อมูลสองชุด พี่กฤษณ์แนะนำให้น้องๆ ฝึกทำโจทย์ปีนี้บ่อยๆ เพราะแนวข้อสอบเน้นการมองภาพรวมของข้อมูลมากกว่าการท่องสูตรครับ











