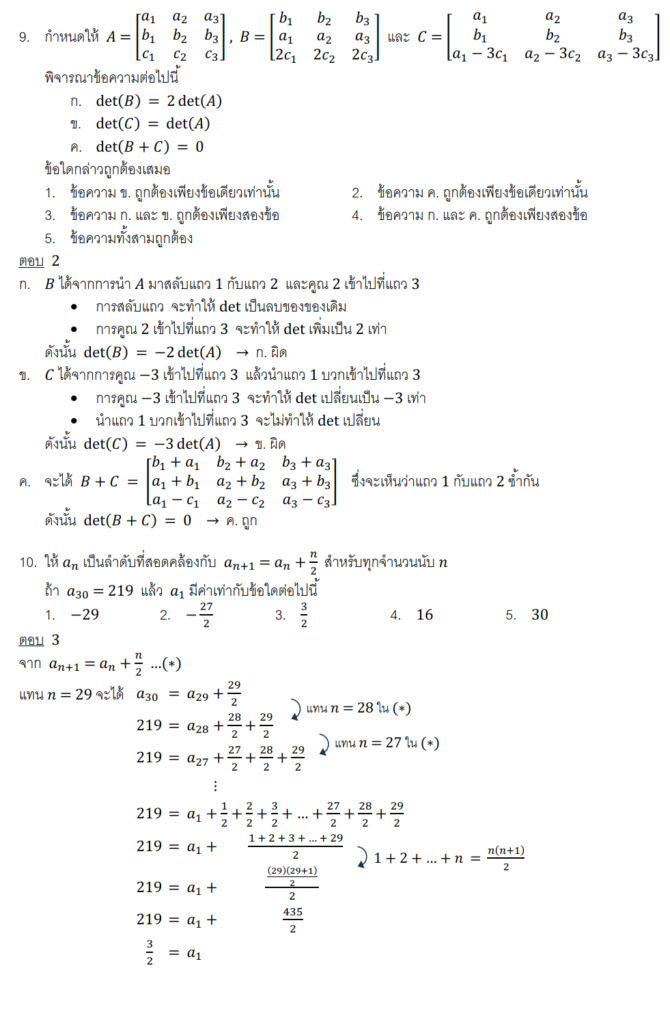
สำหรับข้อสอบปี 68 นี้ พี่กฤษณ์มองว่าความยากอยู่ในระดับที่ท้าทายมากครับ เนื้อหาเน้นการประยุกต์ใช้มากกว่าการจำสูตรมาตอบเพียงอย่างเดียว หัวข้อที่ออกเยอะและเป็นตัวตัดสินคะแนนคือ สถิติและการแจกแจงความน่าจะเป็น ซึ่งมีการเอาสถานการณ์ในชีวิตจริงมาตั้งคำถามมากขึ้น เช่น การจัดตารางเวลา หรือความน่าจะเป็นแบบมีเงื่อนไข น้องๆ ที่เตรียมสอบปีถัดไป พี่กฤษณ์แนะนำให้เน้นบทแคลคูลัสและจำนวนเชิงซ้อนควบคู่ไปด้วย เพราะข้อสอบปีนี้มีการเล่นเรื่องสมบัติพหุนามค่อนข้างลึกครับ สรุปสั้นๆ คือปีนี้เน้นความเข้าใจนิยามพื้นฐานที่ต้องแม่นยำจริงๆ ครับ











