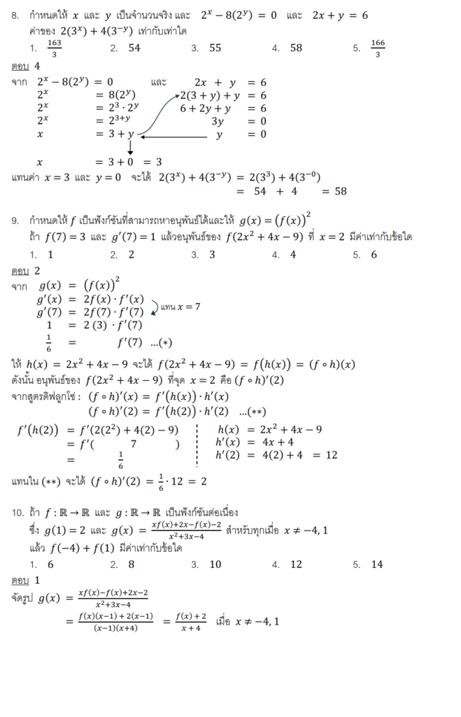
ข้อสอบปี 67 ถือเป็นปีที่น้องๆ หลายคนบ่นว่าใช้เวลาทำค่อนข้างนานครับ พี่กฤษณ์ลองทำดูแล้วพบว่าโจทย์มีการวางกับดักไว้หลายจุด โดยเฉพาะเรื่องตรรกศาสตร์และการหานิเสธของประโยคที่ดูเหมือนจะง่ายแต่ถ้าพลาดนิดเดียวคือเสียคะแนนเลยครับ นอกจากนี้ยังมีเรื่องของสถิติที่เน้นการอ่านตารางค่ามาตรฐาน Z และพื้นที่ใต้โค้งปกติ ซึ่งโจทย์ไม่ได้ให้มาตรงๆ แต่ต้องตีความจากตารางให้เป็นครับ ใครที่อยากเก็บคะแนนคณิต 1 พี่กฤษณ์แนะนำให้ย้อนกลับมาทำข้อสอบปี 67 นี้ให้คล่อง เพราะแนวทางการออกข้อสอบเริ่มคงที่และเป็นต้นแบบที่ดีมากครับ












